
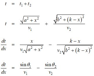
What is the quickest way for light to get from point A to point B? The speed of light varies with the medium through which it travels. The quickest route through any one medium is a straight line segment. The only question is where on the boundary should the refraction point be? In this sketch, let x be the horizontal distance from A to the refraction point. Time is distance divided by speed.

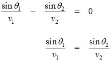
The time will be minimized where the derivative of time with respect to x is zero.

This last equation is a version of Snells Law. If light (or anything else) conforms to Snells Law, then it must be taking the quickest path.
Back to Whistler Alley Mathematics
Last update: August 3, 2011 ... Paul Kunkel whistling@whistleralley.com
For email to reach me, the word geometry must appear in the body of the message.